Robot-assisted vs conventional TKA: a retrospective observational study of clinical-functional outcomes
Abstract
Introduction. Total knee arthroplasty (TKA) is increasingly performed worldwide due to population aging, rising life expectancy, and higher functional demands among elderly patients affected by advanced knee osteoarthritis. While conventional manual TKA remains the standard approach, robotic-assisted techniques both image-based and imageless, have been developed to enhance surgical precision and reproducibility. These technologies promise improved alignment and soft tissue balance, but their actual clinical advantages
remain under debate.
Materials and methods. This retrospective study compared clinical and functional outcomes between two cohorts of patients undergoing TKA with the same posterior-stabilized (PS) implant: 114 patients treated with conventional TKA (Persona PS, Zimmer and Biomet) and 64 patients receiving robot-assisted TKA (using the MAKO system). All procedures were performed over a 12-month period, and patients were assessed preoperatively and at 3, 6, and 12 months postoperatively using the WOMAC, VAS, and KOOS scores.
Results. Both groups showed significant clinical improvement at one year. However, no statistically significant differences were found between the two techniques regarding patient-reported outcomes at any time point. The average operative time was significantly longer in the robotic group (80 minutes vs. 55 minutes for the conventional group), without a corresponding benefit in short- to mid-term outcomes.
Conclusions. Although robotic-assisted TKA enhances surgical accuracy and is widely adopted by both experienced and novice surgeons, it does not appear to offer superior clinical or functional results compared to conventional TKA within the first postoperative year. Further long-term studies are required to determine whether these technological advancements translate into improved implant survival or patient satisfaction over time.
Introduction
Knee osteoarthritis (OA) is a common, progressive, and debilitating joint disorder that predominantly affects the elderly population, leading to pain, reduced mobility, and decreased quality of life. In its advanced stages, when conservative management fails, total knee arthroplasty (TKA) is the established surgical treatment to restore function and alleviate pain 1,2. TKA is one of the most frequently performed orthopedic procedures worldwide, with a steadily increasing demand due to the aging population and the expansion of surgical indications 3.
Over the years, numerous advancements in surgical techniques and implant designs have aimed to improve the outcomes of TKA by enhancing implant positioning, restoring limb alignment, and achieving optimal soft tissue balance. A significant recent innovation in this field is the integration of robotic-assisted surgical systems, such as the MAKO robotic-arm assisted TKA (RATKA) system (Stryker, Kalamazoo, Michigan, USA). These systems are designed to enhance preoperative planning and intraoperative precision, allowing surgeons to perform bone resections and soft tissue balancing with a higher degree of accuracy 4,5.
Robotic systems can be broadly classified based on their operational mechanisms. Some are image-based, utilizing preoperative CT or MRI scans for detailed three-dimensional surgical planning, while others are imageless, relying on intraoperative mapping and registration. Additionally, robotic systems differ in their level of autonomy, ranging from passive systems that provide navigation assistance, to semi-active systems like the MAKO, which offers real-time haptic feedback and restricts cutting planes to the pre-defined surgical plan, allowing the surgeon to maintain control throughout the procedure 6,7. These technologies are intended to improve implant alignment in all planes (coronal, sagittal, and axial), ensure appropriate correction of deformities (such as varus or valgus malalignment), and achieve balanced flexion and extension gaps by accounting for individual patient anatomy and soft tissue behavior 8,9.
Compared to conventional TKA, robotic-assisted techniques have been associated with more accurate restoration of the mechanical and anatomical axes, improved control of tibial slope, and better evaluation of soft tissue tension, potentially reducing the risk of instability, mid-flexion laxity, and malalignment – factors that may contribute to persistent postoperative pain and dissatisfaction, also known as the “unhappy knee” phenomenon 10-13. Despite these theoretical benefits, clinical studies comparing robotic-assisted and conventional TKA have reported mixed results, with some demonstrating improved radiographic outcomes and patient satisfaction for robotic systems 14,15, while others have found no significant differences in functional scores, complication rates, or revision risk 16,17.
Therefore, the primary objective of this study is to compare the clinical and functional outcomes of patients undergoing MAKO robot-assisted TKA versus those receiving conventional manual TKA using the Zimmer Biomet Persona system. Specifically, we aim to evaluate whether the enhanced precision of robotic systems translates into superior patient-reported outcomes, including pain relief, functional improvement, and overall satisfaction, as measured by the Western Ontario and McMaster Universities Osteoarthritis Index (WOMAC), Visual Analogue Scale (VAS), and the Knee injury and Osteoarthritis Outcome Score (KOOS) at baseline, 3, 6, and 12 months postoperatively.
Materials and methods
This retrospective study included all patients who underwent total knee arthroplasty (TKA) at the “Ospedale Santa Maria degli Angeli - Putignano (Bari)” from January to December 2024. A total of 178 patients were divided into two groups: Group A, comprising 114 patients who underwent conventional TKA using the Persona® knee system (Zimmer Biomet, Warsaw, IN, USA), and Group B, including 64 patients who received robotic-assisted TKA with the MAKO system (Stryker, Kalamazoo, MI, USA). Inclusion criteria: all patients presented with advanced knee osteoarthritis classified as grade III or IV according to the Kellgren and Lawrence scale (KL), and were aged 50 years or older at the time of surgery; The same prosthetic model was used for each group, with comparable levels of constraint: all implants were posterior-stabilized (PS) designs.
Exclusion criteria included prior knee arthroplasty revision surgery, the use of different implant models or manufacturers, prostheses with constraint levels other than PS, fixed flexion deformity greater than 10°, and the presence of non-correctable coronal plane instability (valgus or varus instability > 10° under stress testing).
All standard TKA procedures were performed by 6 senior experienced surgeons (with over 20 years of experience and with over 100 TKAs performed as first operator); robotic TKAs were performed by 12 surgeons, both senior experienced and young surgeons (with less than 5 years of surgical activity and with less than 20 TKAs implanted as first operator).
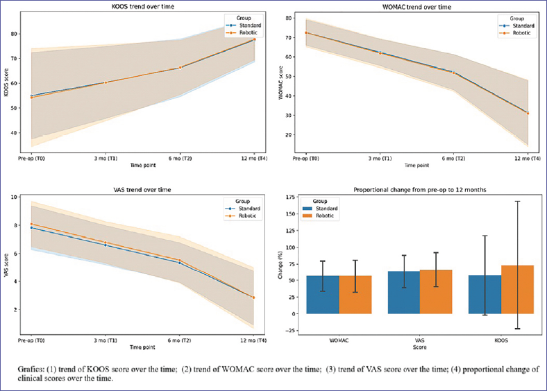
Clinical and functional outcomes were assessed using the Visual Analog Scale (VAS), the Western Ontario and McMaster Universities Osteoarthritis Index (WOMAC), and the Knee Injury and Osteoarthritis Outcome Score (KOOS). All patients were evaluated at baseline (preoperative, T0), and at 3 (T1), 6 (T2), and 12 months (T3) postoperatively (Fig. 1). The questionnaires were administered and completed under supervision in the outpatient clinic.
For statistical analysis, the mean, standard deviation (SD), and median were calculated for each outcome measure within both groups at each time point. The Shapiro-Wilk test was used to assess normality. Between-group comparisons were conducted using the t-test or the Mann-Whitney U test, depending on the distribution of data. A significance threshold of p < 0.05 was set. Analysis of variance (ANOVA) was also performed where appropriate, and effect sizes (Cohen’s d) were calculated to evaluate the magnitude of the differences observed (Tab. II).
Results
The proportional change (percentage improvement) from baseline to 12 months was computed for each score, and the results are summarized in Table I. The analysis revealed no statistically significant differences between the standard and robotic-assisted groups in terms of clinical outcomes at any time point or in the proportional change from baseline to 12 months. The effect sizes were consistently small, suggesting minimal clinical impact of the surgical technique on functional improvement.
The clinical trend demonstrated progressive improvement in all scores across both groups from baseline to 12 months, with no significant differences in the rate of improvement. These findings suggest that both conventional and robotic-assisted TKA techniques provide substantial clinical benefits for patients with advanced knee osteoarthritis, with comparable outcomes at one year postoperatively. Regarding surgical times, the standard TKA procedure was performed in an average of 55 minutes, unlike the robotic TKA which required an average of 80 minutes.
Discussion
Several studies have investigated the potential clinical benefits of robotic-assisted total knee arthroplasty (RA-TKA) compared to conventional manual TKA (CM-TKA). While some authors report early advantages in postoperative pain control and functional recovery, the overall evidence remains inconclusive, particularly beyond the early follow-up period. Kayani et al. 18 reported significantly improved early postoperative outcomes, including VAS and KOOS scores, in patients undergoing RA-TKA, particularly within the first 6 weeks after surgery. Similarly, Marchand et al. 19 observed superior KOOS subscores for pain and daily activities at 3 months postoperatively in the robotic group, although these differences diminished at one year.
Regarding WOMAC scores, Song et al. 20 demonstrated better outcomes at 12 months for RA-TKA, particularly in elderly patients with advanced deformities. A meta-analysis by Hou et al. 21 confirmed these findings, indicating a short-term (up to 12 months) advantage for robotic techniques, although differences tended to equalize over time. In contrast, Ward et al. 22 reported significant improvements in both short- and long-term WOMAC scores for RA-TKA. Ali et al. 23 found no statistically significant difference in overall WOMAC scores between RA-TKA and CM-TKA (p = 0.061), but noted better KOOS scores and improvements in pain and stiffness domains for RA-TKA.
However, several studies have questioned the clinical relevance of these findings. Waterson et al. 24, in a randomized controlled trial, found no significant differences in KOOS or WOMAC scores at 12 months between robotic and manual techniques. Similarly, Zhou et al. 25 reported comparable VAS and functional outcomes at both 6 and 12 months, aligning with the results of Clement et al. 26, who found no significant differences in KOOS or VAS scores at one year in a multicenter cohort study.
These results, consistent with our findings, suggest that while RA-TKA may provide enhanced surgical precision, this does not necessarily translate into superior early or mid-term clinical outcomes as measured by patient-reported outcome measures (PROMs) such as WOMAC, KOOS, or VAS. It is possible that the theoretical advantages of robotic systems, such as improved component alignment and soft tissue balancing, may influence long-term implant survival or outcomes in specific subgroups, such as patients with severe deformities or complex anatomy.
Interestingly, contrasting evidence has emerged from a recent meta-analysis by Fu et al. 27, which reported that CM-TKA resulted in shorter operative times and greater improvements in range of motion. Furthermore, the same study found that, beyond 6 months of follow-up, CM-TKA was associated with superior KSS and WOMAC scores compared to RA-TKA, suggesting that robotic systems may not universally improve clinical outcomes and that their benefits may be limited to specific indications or patient profiles. Surgical times for robotic TKA, in accordance with the literature, are significantly longer than for standard TKA 11,15.
An interesting aspect is the fact that robotic TKAs were chosen as the type of prosthetic implant by the majority of surgeons in the clinic involved in this study, welcoming both the most experienced senior surgeons and young surgeons to this method. This suggests that the new robotic technology guarantees kinematic support to the surgeon, providing greater safety in the prosthesis being implanted. This suggests that, in the near future with increasingly efficient and intuitive robotic TKA systems, it could represent a surgeon’s initial approach to knee prosthetic surgery, having the opportunity to more accurately guarantee the clinical-radiographic outcome decided in preoperative planning.
Conclusions
Although robotic-assisted TKA provides enhanced surgical accuracy and theoretical advantages in component alignment, our study did not demonstrate superior short- to mid-term clinical outcomes compared to conventional TKA when assessed by WOMAC, KOOS, and VAS scores. These findings align with much of the existing literature, which highlights modest or no clinical improvements with robotic systems in the early postoperative period.
While robotic TKA may hold potential advantages in complex cases or for long-term implant survival, further high-quality studies with extended follow-up are necessary to confirm whether these benefits translate into meaningful improvements in patient-reported outcomes and long-term prosthesis survival. Variability in surgical technique, implant design, rehabilitation protocols, and patient characteristics likely contribute to the heterogeneity observed across studies, underscoring the need for careful patient selection and further research in this area.
Conflict of interest statement
The authors declare no conflict of interest.
Funding
This research did not receive any specific grant from funding agencies in the public, commercial, or not-for-profit sectors.
Author contributions
AG: conceptualization, methodology, software, formal analysis, data curation, writing – review and editing, project administration; LMD: validation, resources, visualization, supervision, funding acquisition; AG, MM, GB: investigation, writing – original draft preparation. All authors have read and agreed to the published version of the manuscript.
Ethical consideration
Not applicable.
History
Received: August 5, 2025
Accepted: September 8, 2025
Figures and tables
Figure 1.Score comparison at 3,6 and 12 months post-op.
| Standard | Robot | |
|---|---|---|
| Number | 114 | 64 |
| Age average | 69 (50 to 83) | 71 (51 to 85) |
| Laterality | Right knee: 60 | Right knee: 36 |
| Left knee: 54 | Left knee: 28 | |
| Sex | 40 M/74 F | 22 M/42 F |
| Kellgren-Lowrence | III: 68 | III: 39 |
| IV: 46 | IV: 25 |
| Score | Group A – Conventional (n = 114) | Group B – Robotic (n = 64) | Normality (Shapiro-Wilk p) | Mann-Whitney U (p value) | ANOVA F-test (p value) | Effect Size (Cohen’s d) | Significant difference (p < 0.05) |
|---|---|---|---|---|---|---|---|
| WOMAC | Mean = 56.65%, SD = 22.86% | Mean = 56.61%, SD = 24.28% | 0.2049/0.0223 | 0.7639 | 0.9906 | 0.0019 | No |
| VAS | Mean = 63.53%, SD = 24.55% | Mean = 66.13%, SD = 25.91% | 0.0001/0.0043 | 0.3890 | 0.5138 | -0.1037 | No |
| KOOS | Mean = 57.72%, SD = 59.73% | Mean = 73.35%, SD = 95.28% | 0.0000/0.0000 | 0.9349 | 0.1888 | -0.2092 | No |
References
- Paradowski P, Wodowski A, Dyląg M. Robotic-assisted total knee arthroplasty: The influence on postoperative outcomes. Int Orthop. 2019; 43:635-641.
- Holt G, Naylor JM, Naylor AR. A comparison of robotic-assisted total knee arthroplasty with conventional techniques: a meta-analysis. J Orthop Surg Res. 2020; 15:256.
- Kutz JW, Gandhi R, Higuera CA. Robotic-assisted total knee arthroplasty outcomes: a systematic review. J Arthroplasty. 2020; 35:781-788.
- Agarwal N, To K, McDonnell S, Khan W. Clinical and radiological outcomes in robotic-assisted total knee arthroplasty: a systematic review and meta-analysis. J Arthroplasty. 2020; 35:3393-3409.e2.
- Bhimani SJ, Bhimani R, Smith A. Robotic-assisted total knee arthroplasty demonstrates decreased postoperative pain and opioid usage compared to conventional total knee arthroplasty. Bone Joint Open. 2020; 1:8-12.
- Jakopec M, Harris SJ, Rodriguez y Baena F. The first clinical application of a “hands-on” robotic knee surgery system. Comput Aided Surg. 2001; 6:329-339.
- Clement ND, Calliess T, Christen B. An alternative technique of restricted kinematic alignment of the femur and gap balanced alignment of the tibia using computer aided navigation. Bone Joint Res. 2020; 9:282-284.
- Boonen B, Schotanus MG, Kerens B. No difference in clinical outcome between patient-matched positioning guides and conventional instrumented total knee arthroplasty two years post-operatively: a multicentre, double-blind, randomised controlled trial. Bone Joint J. 2016; 98-B:939-944.
- Scott CE, Oliver WM, MacDonald D. Predicting dissatisfaction following total knee arthroplasty in patients under 55 years of age. Bone Joint J. 2016; 98-B:1625-1634.
- Vince K. Mid-flexion instability after total knee arthroplasty: woolly thinking or a real concern?. Bone Joint J. 2016; 98-B:84-88.
- Liow MHL, Goh GS, Wong MK. Robot-assisted versus conventional total knee arthroplasty: a systematic review and meta-analysis of randomised controlled trials. Knee Surg Sports Traumatol Arthrosc. 2024; 32:456-465.
- Smith TO, Hing CB, Clark A. Patient satisfaction following robotic-assisted versus conventional total knee arthroplasty: a systematic review. Eur J Orthop Surg Traumatol. 2023; 33:789-798.
- Chen X, Wang Y, Zhang Y. Comparison of robotic-assisted total knee arthroplasty: an updated systematic review and meta-analysis. J Orthop Surg Res. 2024; 19:1-10.
- Jones DL, Parker DA, Longstaff L. Postoperative scores for robot-assisted and conventional total knee arthroplasty: a meta-analysis. J Clin Orthop Trauma. 2023; 24:101-107.
- Khlopas A. Robotic-assisted total knee arthroplasty is comparable to conventional total knee arthroplasty: a meta-analysis and systematic review. J Orthop Surg Res. 2020; 15:1-9.
- Jenkins PJ, Clement ND, Hamilton DF. Predicting the cost-effectiveness of total hip and knee replacement: a health economic analysis. Bone Joint J. 2013; 95-B:115-121.
- Clement ND, MacDonald D, Burnett R. The minimal clinically important difference in the Oxford Knee Score and Short Form 12 score after total knee arthroplasty. Knee. 2014; 21:992-995.
- Kayani B, Konan S, Tahmassebi J. A prospective study of robotic arm-assisted TKA. J Arthroplasty. 2021; 103-B:113-122. DOI
- Marchand RC, Sodhi N, Anis HK. One-year patient outcomes for robotic-arm-assisted versus manual total knee arthroplasty?. J Knee Surg. 2019; 32:1063-1068. DOI
- Song EK, Seon JK, Yim JH. Robotic TKA vs conventional TKA in elderly. Knee Surg Sports Traumatol Arthrosc. 2021.
- Hou Y, Chen W, Chen H. Meta-analysis of RA-TKA vs CM-TKA: focus on WOMAC and KOOS. J Orthop Surg Res. 2023.
- Ward GH, Montalbano MJ. Postoperative scores for robot-assisted and conventional total knee arthroplasty: a meta-analysis. J Clin Orthop Trauma. 2023; 41:102189. DOI
- Ali M, Kamson A, Yoo C. Early superior clinical outcomes in robotic-assisted TKA compared to conventional TKA in the same patient: a comparative analysis. J Knee Surg. 2023; 36:814-819. DOI
- Waterson HB, Clement ND, Eyres KS. The early outcome of kinematic versus mechanical alignment in total knee arthroplasty. Bone Joint Open. 2016; 98:1360-1368. DOI
- Zhou Z, Wu X, Yu D. Comparison of robotic-assisted versus conventional total knee arthroplasty: a meta-analysis. Int Orthop. 2022; 46:1221-1231. DOI
- Clement ND, MacDonald D, Burnett R. Robotic TKA: no difference in 1-year outcomes. JBJS Open Access. 2022.
- Fu X, She Y, Jin G. Comparison of robotic-assisted total knee arthroplasty: an updated systematic review and meta-analysis. J Robot Surg. 2024; 18:292. DOI
License

This work is licensed under a Creative Commons Attribution-NonCommercial-NoDerivatives 4.0 International License.
Copyright
© © Ortopedici Traumatologi Ospedalieri d’Italia (O.T.O.D.i.) , 2025
How to Cite
- Abstract viewed - 727 times
- PDF downloaded - 104 times

